Background Image
조회 수 41857 추천 수 0 댓글 0
?

단축키

Prev이전 문서

Next다음 문서

크게 작게 위로 아래로 댓글로 가기 인쇄 첨부

 

인덱스, 아는 만큼 보인다!
DBMS 개발자가 전하는 인덱스 활용 노하우

 

고성능 서비스를 구축하기 위한 DB 쿼리 튜닝의 핵심은 인덱스를 얼마나 잘 활용하는가에 달려 있다. 지난 3년 동안 CUBRID를 NHN 내/외부 서비스에 적용하면서 의외로 많은 개발자들이 DB 인덱스에 대해 “잘” 알지 못하고 “잘” 활용하지 못한다는 것을 발견하였다. 본 기고문에서는 6월 30일에 출시된 CUBRID 2008 R4.0에 적용된 다양한 인덱스 기법을 중심으로 인덱스 구조와 인덱스 활용 노하우를 쉽게 설명하고자 한다. 단, MySQL, MS-SQL, Oracle 등 다른 DBMS에서도 이와 동일/유사한 인덱스 기법이 적용되어 있으므로 본 기고문에서 소개할 인덱스 활용 노하우가 CUBRID에 국한되지 않는다는 점을 강조하고 싶다.

 

* 본 게시글은 월간 마이크로소프트웨어 8월호에 게재된 내용의 원작입니다.

   월간 마이크로소프트웨어에서는 약간 내용이 줄어서 게재된 관계로 본 게시글과 차이가 있을 수 있습니다.

-------------------------------------------------------------------------------------------------------------------------------------------------------------------------
강동완  | NHN Business Platform 서비스 플랫폼 개발 센터 내 DBMS 개발랩 소속이다. CUBRID 차기 버전(코드명: Apricot)에 오라클의 Index Skip Scan 기법 (MySQL에서는 Loose Index Scan이라고 함)과 Function Index, MS-SQL Server의 Include Index 등 다양한 인덱스 활용 최적화 기법을 적용하기 위하여 개발에 몰두하고 있다.
---------------------------------------------------------------------------------------------------------------------------------------------------------------------------

 

 

인덱스 구조와 스캔 방식을 이해하기


 

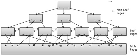
CUBRID의 인덱스는 B+-Tree 를 이용하여 인덱스를 구현한다. B+-Tree 는 B-Tree 의 한 종류로 일반적인 B-Tree 와는 달리 데이터 포인터들을 리프(Leaf) 노드에만 저장한다. 리프 노드의 상위 레벨인 넌리프(Non-Leaf) 노드는 전형적인 B-Tree 로 구성되는데, 리프 노드를 빠르게 찾기 위한 인덱스 역할을 한다. 리프 노드에는 키와 키에 대응하는 데이터의 포인터가 저장되어 있다. 리프 노드는 링크드 리스트로 연결되어 있기 때문에 범위 검색과 같은 순차 처리를 편하게 해준다. 그림 1 은 B+-Tree 의 전형적인 구조를 보여준다.

 

pic1.jpg


그림 1 B+-Tree 구조


B+-Tree 의 리프 노드는 서로 연결되어 있어 순차 처리가 가능하기 때문에 범위를 검색하는데 유리하다. 테이블은 처음부터 끝까지 모든 레코드를 읽어야 완전한 결과 집합을 얻을 수 있지만, 인덱스는 키 컬럼 순으로 정렬되어 있기 때문에 특정 위치에서 검색을 시작해서 검색 조건이 일치하지 않는 값을 만나는 순간 멈출 수 있다. 이것을 인덱스 범위 스캔(Index Range Scan)이라고 부른다. CUBRID는 범위 스캔을 B+-Tree 검색의 기본 연산으로 제공한다. 범위 스캔을 위해서는 두 개의 키가 필요한데, 범위의 양 끝을 표현하는 하위 키와 상위 키가 그것이다.

인덱스 범위 스캔은 두 단계로 진행된다. 첫 번째 단계에서는 루트에서부터 트리를 순회하여 리프 노드에서 하위 키를 찾아낸다. 두 번째 단계에서는 첫 번째 단계에서 찾은 키에서부터 상위 키까지 순차적으로 레코드를 읽어 처리한다. 상위 키가 현재 노드에서 발견되지 않으면 다음 노드를 읽어 상위 키를 가진 노드까지 검색을 계속해 나간다. 상위 키까지 순차 검색이 끝나면 전체 범위 검색이 완료된다.
두 번째 단계에서 상위 키까지 찾아가는 과정은 레코드에서 키를 읽어와 상위 키와 비교하는 과정의 연속이다. 상위 키가 최대 키이면 현재 노드의 키부터 마지막 노드까지 모두 검색 결과에 포함되기 때문에 비교 연산을 할 필요가 없어져 검색의 성능이 좋아진다. 이를 위해 옵티마이저는 입력된 쿼리를 재작성(rewrite)하며, CUBRID는 특정 키를 찾는 검색도 범위 검색으로 변환하여 수행한다. 이런 경우에는 하위 키와 상위 키 모두를 찾고자 하는 키로 동일하게 설정한다.

 

인덱스 스캔을 통한 질의 처리 과정을 이해하기


CREATE TABLE tbl (a INT NOT NULL, b STRING, c BIGINT);
CREATE INDEX idx ON tbl (a, b);

그림 2는 CUBRID에서 위의 구문으로 테이블과 인덱스를 생성하고 데이터를 입력한 경우, 인덱스 리프 노드와 테이블 데이터의 관계를 나타낸 그림이다. 왼쪽 인덱스 리프 노드에는 인덱스 키와 키에 대응되는 OID(레코드의 물리적 주소 값)가 저장되어 있다.

 

pic2.jpg  
그림 2 인덱스 리프 노드와 테이블 데이터의 관계

 

SELECT * FROM tbl WHERE a > 1 AND a < 5 AND b < ‘K’ AND c > 10000 ORDER BY b;

 

위와 같은 SELECT질의가 주어졌을 때 WHERE 절에 있는 검색 조건은 아래의 3가지로 나눌 수 있다.
 Key Range: 인덱스 스캔 범위로 활용되는 조건이다. (a>1 and a < 5)
 Key Filter: Key Range에 포함될 수 없지만 인덱스 키로 처리 가능한 조건이다. (b < ‘K’)
 Data Filter: 인덱스를 사용할 수 없는 조건이다. 테이블 데이터를 검색하는데 적용된다. (c > 10000)
CUBRID의 질의 처리 과정은 다음과 같다.
1) 인덱스 스캔인 경우 먼저 Key Range와 Key Filter를 적용하여 조건에 부합하는 OID 리스트를 만들어 낸다. 이 과정은 Key Range의 시작부터 끝까지 계속된다.
2) OID를 이용해 데이터 페이지에서 해당 레코드를 읽어 Data Filter를 적용하거나 SELECT 리스트에 기술된 컬럼 값을 읽어와 결과를 저장하는 임시 페이지에 기록한다.
3) ORDER BY나 GROUP BY 절이 있으면 임시 페이지에 저장된 레코드들을 정렬하여 최종 결과를 생성한다. 그림 3은 위의 SELECT 질의가 처리되는 1), 2), 3) 과정을 보여 준다.

 

 

pic3.jpg


 그림 3 인덱스 및 테이블 데이터 검색을 통한 질의 처리 과정

 

인덱스 사용 시 이런 점을 주의하자


옵티마이저가 인덱스를 사용하도록 하기 위해서는 WHERE 절에 Range 조건이 있어야 한다. Range 조건은 값의 비교조건, 즉 크다, 작다, 크거나 같다, 작거나 같다, 같다와 같은 비교문으로 기술된다. 만약 Range 조건이 없다면 옵티마이저는 테이블 순차 스캔을 시도할 것이다.
또한, WHERE 절에 인덱스 키의 첫 번째 컬럼이 사용되어야만 인덱스 스캔을 수행한다. 인덱스가 여러 컬럼으로 조합되어 있는 경우 많은 사람들이 이중 한가지 컬럼만을 사용하더라도 비교가 가능하다고 생각하는 경우가 있는데, 그것은 잘못된 생각이다. 첫 번째가 없는 상태에서는 두 번째가 정렬된 상태라고 할 수 없기 때문에 범위를 정의할 수 없다. 따라서 반드시 첫 번째 컬럼이 조건에 있어야 하며, 뒤의 컬럼들은 없어도 상관없다.
인덱스는 값의 대소 비교를 통해 트리가 구성되어 있다. 따라서 값의 대소 비교가 아닌 것은 B+-Tree를 사용해서 값을 찾을 수 없다. <>, != 와 같이 부정형 조건이나 NULL 비교는 인덱스를 사용할 수 없다. 인덱스의 첫 번째 컬럼을 조건절에서 가공하는 경우도 인덱스를 사용할 수 없다. 다음은 인덱스를 사용하지 못하는 질의문의 예이다.

 

SELECT * FROM student WHERE grade <> 'A';
SELECT name, email_addr FROM student WHERE email_addr IS NOT NULL;
SELECT student_id FROM record WHERE substring(yymm, 1, 4) = ‘1997’;

 

인덱스 활용 최적화: 디스크 I/O를 최소화하는 것이 튜닝의 핵심이다!


B+-Tree는 특성상 어떤 리프 페이지든 접근하는데 거의 동일한 비용이 든다. B+-Tree를 사용하는데 가장 큰 비용이 드는 부분은 Key Range의 시작부터 끝까지 인덱스 리프 노드들을 따라 스캔하는 것과 이와 대응되는 테이블 데이터를 스캔하는 것이다.


CUBRID의 I/O는 페이지 단위로 이루어진다. 이것은 하나의 레코드에서 하나의 컬럼만 읽으려 해도 레코드가 속한 페이지 전체를 디스크로부터 읽어온다는 것을 뜻한다. 따라서, 질의 성능을 좌우하는 가장 중요한 성능 지표는 I/O를 수행하는 페이지 개수이며, 이는 옵티마이저의 판단에 가장 큰 영향을 미친다. 옵티마이저가 인덱스를 읽을지, 테이블을 읽을지 결정하는데 있어 가장 중요한 판단 기준은 읽어야 할 레코드가 아니라 읽어야 할 페이지 개수인 것이다.


디스크 I/O는 메모리 액세스에 비해서 비용이 아주 크다. 질의 수행에 필요한 모든 데이터 페이지와 인덱스 페이지를 DB 버퍼에 올려놓고 처리할 수 있다면 좋겠지만 그러기에는 한계가 있다. 결국 디스크 I/O를 최소화 하고 대부분의 연산을 DB 버퍼에서 처리할 수 있도록 질의 처리 과정에서 액세스하는 페이지 수를 최소화시키는 것이 튜닝의 핵심이다. 액세스하는 페이지 수가 적으면 자연스럽게 물리적으로 디스크에서 읽어야 할 페이지 수도 줄어들기 때문에 DB 버퍼 히트율(DB buffer hit ratio)이 높아져서 데이터베이스의 전체적인 성능이 높아지게 된다. 그럼 지금부터 인덱스 스캔 과정에서 액세스해야 할 페이지 수를 줄일 수 있는 기법들에 대해 알아보자.

 

최적화 기법 1. Key Filter 활용


앞서 설명한 바와 같이 Key Filter는 Key Range에는 포함될 수 없지만 인덱스 키로 처리 가능한 조건이다. 이러한 Key Filter가 WHERE 조건절에 포함되면 인덱스 스캔 중에 데이터 페이지에 접근하는 횟수를 줄일 수 있다. 데이터 페이지를 읽는 것은 랜덤 액세스 이기 때문에 인덱스 페이지를 스캔하는 것보다 많은 비용이 든다. 따라서 WHERE절에 Key Filter를 주는 것이 성능에 유리하다.  또한, Data Filter가 Key Filter로 적용될 수 있도록 인덱스에 컬럼을 추가하는 것도 방법이 될 수 있다. 예를 들어 user 테이블에 (groupid, name)으로 구성된 인덱스 idx_1이 있는 상태에서 아래 질의를 수행한다고 가정해 보자.

 

SELECT * FROM user WHERE groupid = 10 AND age > 40;


groupid=10인 조건을 만족하는 레코드가 100건이고 그 중 age>40인 레코드가 10건이라고 하면, 인덱스 스캔으로 100건의 OID를 가져온 후, 최악의 경우 데이터 페이지로 100회의 액세스를 수행할 것이다. 그러나, idx_1 인덱스에 age 컬럼을 추가하여 (groupid, name, age)로 만들면 age > 40 조건이 Key Filter 조건으로 처리되어 인덱스 스캔으로 10건의 OID만 추출할 수 있다.

 

최적화 기법 2. 커버링 인덱스


만약 사용되는 인덱스 내에서 SELECT 질의에 대한 결과를 모두 얻을 수 있는 상황이라면 데이터 페이지에 저장되어 있는 레코드를 읽어오지 않아도 인덱스 키의 값으로만 결과를 만들어 낼 수 있다. MS-SQL Server 에서는 이와 같이 인덱스가 하나의 질의를 모두 “커버”한 경우에 대해서 “커버링 인덱스”라고 한다. CUBRID 2008 R4.0에도 커버링 인덱스가 도입되었다.

 

SELECT a, b FROM tbl WHERE a > 1 AND a < 5 AND b < ‘K’ ORDER BY b;

 

위의 질의는 커버링 인덱스가 적용될 수 있다. 질의에 사용된 컬럼은 a, b 뿐이고 모두 인덱스 컬럼이기 때문이다. 그림 4를 통해 커버링 인덱스에 의해 질의가 처리되어 테이블 데이터 페이지를 액세스 하는 부분이 없는 것을 확인할 수 있다. 대신 인덱스 스캔 결과로 인덱스 키 값을 그대로 Key Buffer에 저장한 후 이 값을 읽어 최종 결과를 만들어 낸다.


pic4.jpg  
그림 4 커버링 인덱스를 활용한 질의 처리 과정

 

커버링 인덱스는 데이터 페이지를 읽지 않는다는 점, 그리고 해당 질의를 자주 사용하게 되면 인덱스가 DB 버퍼에 캐시되어 있을 가능성이 높다는 점에서 디스크 I/O를 줄이는데 큰 역할을 한다. 따라서 레코드 크기에 비해 인덱스 키의 크기가 작고, 커버링 인덱스를 이용하는 질의가 자주 수행되는 것이 확실하다면, 커버링 인덱스를 사용하여 SELECT 질의 성능을 크게 향상시킬 수 있다.

 

최적화 기법 3. Sort 연산 대체


인덱스 스캔을 통해 생성된 결과 집합은 인덱스 컬럼 순으로 정렬된 상태이므로 ORDER BY, GROUP BY절에 의한 정렬 연산을 생략하도록 질의를 작성할 수 있다. 이를 위해서는 인덱스 컬럼의 순서대로 ORDER BY나 GROUP BY 절에 컬럼이 지정되어야 한다. 단 인덱스 컬럼이 조건절에서 ‘=’ 연산자로 동등 비교되는 경우에는, 해당 컬럼이 ORDER BY나 GROUP BY 절에서 중간에 생략되어도 된다. 그림 5는 인덱스 스캔에 의해 GROUP BY 정렬이 생략되는 질의 처리 과정을 보여 준다.

 

SELECT COUNT(*) FROM tbl WHERE a > 1 AND a < 5 AND b < ‘K’ AND c > 10000 GROUP BY a;



 

pic5.jpg
그림 5 GROUP BY 정렬 최적화된 질의 처리 과정


앞에서 인덱스 스캔을 하기 위해서는 조건절에 인덱스 첫 번째 컬럼이 명시되어야 한다고 설명했다. 하지만 인덱스 컬럼에 NOT NULL 제약 조건이 설정되어 있다면 옵티마이저는 조건절에 인덱스 첫 번째 컬럼이 없더라도 최소 키값과 최대 키값으로 Key Range를 자동으로 추가하여 인덱스 스캔이 가능하도록 최적화한다. 즉, 인덱스 리프 노드의 처음부터 끝까지 스캔하게 되는데, 이를 오라클에서는 인덱스 전체 범위 스캔(Index Full Range Scan) 이라고 부른다.

 

SELECT * FROM tbl WHERE b < ‘K’ ORDER BY a;


이 질의는 옵티마이저에 의해 인덱스 전체 범위 스캔이 수행되는 예이다. CUBRID Manager라는 질의 실행 도구로 해당 질의문의 실행 계획을 확인하면, 그림 6에서처럼 Key Range가 자동으로 추가되어 ORDER BY 정렬 연산이 생략되는 것을 알 수 있다.

 

pic6.jpg
그림 6 옵티마이저에 의해 정렬 최적화된 질의의 실행 계획

 

최적화 기법 4. LIMIT 최적화


LIMIT 절은 질의의 최종 결과 개수를 제한한다. Data Filter가 없는 질의에 LIMIT 절이 있으면 Key Range에 해당하는 키 값 전부를 스캔할 필요 없이 LIMIT 절에 기술된 개수만큼의 결과를 확보하자 마자 스캔을 중단할 수 있다. 이는 Range의 끝까지 스캔하고 나서 결국은 버리게 되는 페이지를 액세스하지 않기 때문에 불필요한 I/O를 제거할 수 있다.

SELECT * FROM tbl WHERE a = 2 AND b < ‘K’ ORDER BY b LIMIT 3;
이 질의는 LIMIT 최적화에 의해 필요한 결과를 얻은 후 인덱스 스캔이 중단되는 예이다. 만약 a = 2인 인덱스 키가 10페이지에 걸쳐 저장되어 있더라도 LIMIT 절에 명시한 3개의 키 값만 스캔하므로 1개의 페이지만 읽게 된다.
 

pic7.jpg
그림 7 LIMIT 최적화된 질의 처리 과정

 

한편, IN 절을 사용한 질의에 대해서도 LIMIT 최적화를 적용할 수 있다. CUBRID는 인덱스 컬럼이 IN 절에 사용되면 Key Range를 IN에 사용된 개수만큼 생성하고, 각각에 대해 인덱스 스캔을 수행한다. 다만, 아래 질의처럼 LIMIT 절에 결과 개수가 명시된 경우, 3번의 인덱스 스캔에 대해 각각 3건의 결과만 획득하고 인덱스 스캔을 중단한다. 즉, 각각의 인덱스 스캔에 대해서 LIMIT 최적화가 적용되는 것이다.

 

SELECT * FROM tbl WHERE a IN (2, 4, 5) AND b < ‘K’ ORDER BY b LIMIT 3;


ORDER BY절은 전체 결과에 대한 정렬을 의미하기 때문에 Key Range가 여러 개이면 각각의 인덱스 스캔 결과를 모아서 다시 정렬을 해야 한다. 하지만 인덱스 스캔의 결과로 정렬을 대체할 수 있는 경우에는 스캔 과정에서 바로 병합(merge)할 수 있다.  CUBRID는 이 과정을 In-Place Sorting 이라고 부른다.
그림 8을 보면서 자세한 설명을 하면, 먼저 첫 번째 range(a = 2 AND b < ‘K’)에 대한 스캔을 통해 3건의 OID를 확보한다. 그 다음 두 번째 range(a = 4 AND b < ‘K’)에 대한 스캔을 시도하는데, 이 range의 첫 번째 키인 (4, ‘DAA’)는 첫 번째 range의 마지막 스캔 키인 (2, ‘CCC’) 보다 b 컬럼의 값이 크기 때문에 바로 스캔을 중단한다. 마찬가지로 다음 세 번째 range인 a = 5 AND b < ‘K’에 대한 스캔에서도 두 번째 키를 읽은 후 바로 스캔을 중단한다. 이처럼 In-Place Sorting 기법은 인덱스 스캔 범위를 더욱 축소하고, 최종 결과에 대한 별도의 정렬을 수행하지 않기 때문에 성능 향상에 많은 도움을 준다.

 

 

 pic8.jpg
그림 8 In-Place Sorting 기법에 의해 최적화된 질의 처리 과정

 

요약 정리


인덱스가 좋다고 해서 인덱스를 많이 만드는 것이 능사가 아니다. 오히려 인덱스 관리 비용이 증가하고 INSERT, UPDATE, DELETE 성능 저하의 원인이 될 수 있다.
DB 튜닝의 핵심은 적절한 수의 인덱스를 생성하고 질의가 이 인덱스들을 활용할 수 있도록 질의를 최적화하는 것이다. 이를 위해서는 DBMS에 구현된 인덱스 구조와 다양한 활용 기법들을 이해하고, 질의 패턴과 사용 빈도, I/O 비용, 저장 공간에 대한 비용을 전체적으로 고려하여야 한다.

 


  1. No Image

    손쉬운 PHP 확장 기능 개발

    PHP 확장 기능 Web 개발 인터페이스로 널리 사용되는 PHP에는 PHP고유의 기능 외에도 사용자가 기능을 추가할 수 있는 확장(Extension) 기능이 있습니다. 확장 기능을 사용하기 위해서는 리눅스 상에서는 PHP와 인터페이스되는 확장 라이브러리를 만들어야 합니다. PHP는 C 프로그래밍 초보자라도 확장 기능을 쉽게 만들 수 있도록 Zend Platform이라는 인터페이스를 제공하고 있습니다. 그럼 간단한 'Hello World' 확장 기능을 작성해 보겠습니다. 작성된 확장 기능은 CentOS 6.x 기준입니다. 설정하기 첫 번째 단계는 소스에서 PHP를 컴파일하는 데 필요한 필수 개발 도구 (automake, autoconf 등)를 설치하는 것입니다. 쉘 상태에서 다음 명령을 실행하면됩니다. (이미 이러한 개발 도구가 설치되어 있는 경우는 이 단계는 생략해도 됩니다) $ sed -i "s/^\exclude.*$/exclude=/g" /etc/yum.conf # allow kernel-devel package.                                                         $ yum groupinstall -y 'Development Tools' git 도구를 이용하여 php 소스를 다운 받습니다.  $ git clone http://git.php.net/repository/php-src.git                              ...
    Date2017.12.08 Category오픈소스 이야기 By김병욱 Views4371 Votes0
    Read More
  2. No Image

    Y2K38, "UNIX Millennium Bug"

    시작하며 당신은 소프트웨어 엔지니어 입니까.  정보시스템 매니저 입니까, 아니면 평범한 회사원 입니까? 당신이 무엇을 하던지간에 50세 이하라면 당신은 Y2K Millennium Bug를 만나실 수 있습니다. 1990년대 후반의 Y2K 이슈 1990년대 후반에 전 세계가 떠들석했던 이슈가 있었는데 연도를 2자리로 표기해서 생긴 “Y2K”입니다.  1997-12-23이 아니라 97-12-23 형태로 말입니다.  90년대 이전 대부분의 정보시스템은 연도를 ‘1997’과 같이 4자리로 표기하지 않고 ‘97’과 같이 2자리로 표현했는데,  이런 관행이 정보시스템이 2000년과 1900년을 구분을 못하는 문제의 원인이 되었던 것이지요.  2000년 10월 23일에 태어난 신생아의 주민등록번호는 001023로 시작되는데 이것은 1900년에 태어난 100살의 노인도 마찬가지 입니다,  주민번호가 고유하지 않을 가능성이 생긴 것입니다.  정보시스템에서는 치명적이라 할 수 있지요.  온 세계의 정보 시스템 관리자가 자기의 시스템에서 사용하는 날짜가 4자리로 되어있는지 검사하고 감리하느라고 분주했고 “Y2K 비즈니스”라는 사업분야가 생길 정도였습니다.  Y2K의 위력에 버금가는 아니 그것보다 클 수 있는 이슈가 Y2K38 Uni...
    Date2017.12.07 Category나머지... By한기수 Views2812 Votes0
    Read More
  3. CUBRID contribute의 첫걸음, CUBRID 빌드하기

    CUBRID는 open source DBMS로 모든 소스코드가 www.github.com/cubrid에 공개되어 있으며, CUBRID에 관심있는 누구든지 프로젝트에 참여할 수 있습니다. 그리고 CUBRID 제품 이슈는 http://jira.cubrid.org에서 관리되고 있습니다. 이 곳에서 자유롭게 CUBRID 이슈사항 등록 및 커뮤니케이션이 가능합니다. open source에 contribute하는 방법에는 소스코드 수정 외에도 프로젝트 문서 수정, 이슈에 대한 정리 활동 등 다양한 방식이 있습니다. 이 중 소스코드 수정의 1단계인 CUBRID 빌드에 대해 소개하도록 하겠습니다. 이하 절차는 CentOS 6.9 x86_64에서 진행하였습니다. 1. 필수 패키지 설치 CUBRID 빌드를 수행하려면 아래의 패키지가 필요합니다. > git(1.7.6이상), cmake(2.8이상), gcc-c++, systemtap, systemtap-sdt-devel, bison, flex, ncurses-devel, ant, elfutils-libelf-devel, libtool, rpm-build CUBRID빌드를 위한 필수 패키지를 아래 명령어로 설치할 수 있습니다. sudo yum install cmake gcc-c++ systemtap systemtap-sdt-devel bison flex ncurses-devel ant elfutils-libelf-devel libtool rpm-build 2. git설치 git은 CentOS 6.9에서 base repository...
    Date2017.12.01 Category제품 여행 By이동현 Views3007 Votes0
    Read More
  4. 제16차 동북아 공개SW활성화포럼 참관기

    11월 15일 ~ 16일 중국 톈진에서 개최된 제16차 동북아 공개SW활성화포럼 행사에 다녀왔습니다.   동북아 공개SW활성화포럼은 한중일 협력체를 구성하여 글로벌 시장에서의 영향력을 확보하기 위한 목적으로 2004년 4월 출범하였으며, 금년까지 총 16차에 걸쳐 포럼 행사가 개최되었습니다. (작년에는 제주도에서 개최됨) 또한, 정부 차원의 IT 국장급 회의도 병행해서 운영이 되는데, 한중일 IT국장회의에서 수립된 IT 분야 협력 기본 방향에 맞춰 동북아 공개SW활성화포럼에서는 3국간 협력사업 및 자국 내 공개SW 활성화 활동을 수행하게 됩니다.   한중일 3국에는 각각 한국공개SW활성화포럼(KOPF), 중국공개SW활성화포럼(COPF), 일본공개SW활성화포럼(JOPF)이 구성되어 있으며, 각 포럼에는 4개의 워킹그룹이 - WG1 기술개발분과, WG2 인력양성분과, WG3 표준화분과, WG4 비즈니스분과 - 활동을 하고 있습니다.   [1일차]   오전에는 워킹그룹별로 1년 동안의 각 분과 활동에 대한 정리 및 2018년 계획을 수립하는 회의가 진행되었으며, 오후에는 한중일 국장 합의문과 포럼 의장 합의문에 대한 논의가 진행되었습니다. 또한, 주최국인 중국에서 환영만찬을 제공해 주었...
    Date2017.11.22 Category오픈소스 이야기 By정병주 Views2636 Votes0
    Read More
  5. 오픈소스 CMS XE3, CUBRID 연동 지원

    최근 XE 오픈소스 개발팀으로부터 이메일을 수신했습니다. 현재 진행 중인 XpressEngine 3.0 (XE3) 프로젝트에서 CUBRID 연동 개발 및 배포가 완료되었다는 내용으로, XE3의 Laravel 프레임워크(PHP 프레임워크)에서 사용할 수 있는 CUBRID 용 DB 드라이버를 개발한 것입니다. 개발된 코드는 GitHub 등을 통해 공개가 되었으며, XE3에 포함되어 배포 중에 있다고 합니다.   -> https://packagist.org/packages/xpressengine/laravel-cubrid -> https://github.com/xpressengine/laravel-cubrid   XE3의 전신은 고영수 개발자가 1999년 말에 배포한 게시판(BBS) 프로그램 ‘제로보드(Zeroboard)’로서, 2000년대 초반 닷컴 열풍과 더불어 많은 사용자 층을 확보하게 되었습니다. 이후 2007년 3월에 NHN (현, 네이버)에서 인수하여 오픈소스 프로젝트로 전환을 하였으며, 브랜드명도 XpressEngine (XE)로 변경되었습니다.   -> NHN, ‘제로보드XE’ 공개 (머니투데이, 2007-08-13)   2000년대 말 당시 NHN 기술부문에서 대외적으로 역점을 두었던 사안이 국내 오픈소스 소프트웨어 생태계 기여 및 독립사이트 활성화를 위한 NHN 정보플랫폼 확산이었는데, XE는 이러한 활동에 중심적...
    Date2017.11.03 Category알려요~ By정병주 Views5989 Votes0
    Read More
  6. Oracle Database SE2 살펴보기

    오라클의 FY 2016 3사분기 시작일인 2015년 12월 1일을 기점으로 Oracle Database Standard Edition 1과 Standard Edition 제품 판매가 중단되었으며, Standard Edition 2가 새롭게 추가 되었습니다. 또한, 2016년 8월 31일자를 기해서 Oracle SE1, SE에 대한 서포트와 보안 패치, 업그레이드 서비스가 종료되었습니다.   DBMS 시장의 강자인 Oracle Database 제품군에 변화가 생긴 것으로, 이러한 정책 변화는 다수의 사용자들에게 직접적인 영향을 주는 사안이라 국내 IT 매체에서도 이슈화를 할 것으로 생각했었습니다. 그런데, 당시 관련 기사를 검색해 보면 CIO Korea의 외신 번역기사와 데이터넷 기사 외에는 전무한 상태였으며, 개인적으로는 ‘왜 관련 기사를 쓰지 않을까?’하고 약간 의아한 생각이 들기도 했었습니다.   -> "오라클 데이터베이스 만료일에 주의하라" 애널리스트 경고 (CIO Korea, 2015-11-13) -> “SMB 시장에서 脫 오라클 바람 예고” (데이터넷, 2016-03-02)   어느덧 2년 가까운 시간이 지났기 때문에 대부분의 사용자 분들이 Oracle Database SE2 관련 정보를 습득하고 계시겠지만, 간략하게 정리를 해 보도록 하겠습니다.   구분 SE1 SE SE2 릴리...
    Date2017.10.27 Category시장 살펴보기 By정병주 Views21768 Votes0
    Read More
  7. ‘시작하세요! 큐브리드’ 전자책 다운로드 1천건 돌파!!!

    '시작하세요! 큐브리드' 전자책 다운로드 수가 1,000건을 넘었습니다(10월 20일 기준 1,007건). 금년 2월 8일부터 무료 다운로드가 시작되었으니 약 8개월 10일 정도 걸렸으며, 일 평균 다운로드 수는 4건입니다. 원래 ‘시작하세요! 큐브리드’ 도서는 2015년 5월 출간된 이후 하드 카피와 전자책(PDF) 형태로 유료 판매를 했었으며, 금년 2월에 출판사인 위키북스의 도움으로 전자책을 무료로 전환했습니다. CUBRID 사용자 확산을 위한 조치였는데, 기대 이상으로 많은 분들이 다운로드를 받아가셨습니다.  [도서 다운로드: http://www.cubrid.com/notice/3808747]  참고로, 2008년 2월에는 ‘큐브리드 7.3을 이용한 데이터베이스 이해와 실습’이라는 도서를 출간한 적이 있습니다. 당시 도서 출간 목적은 대학에서 데이터베이스 이론을 가르치면서 DBMS 실습 과정에 CUBRID를 활용하도록 하기 위함 이었습니다. 따라서, 데이터베이스의 이론적인 배경이 부족한 학생들에게 데이터베이스에 대한 기초적인 지식을 습득할 수 있도록 콘텐츠가 구성되어 있습니다. 얼마전 10월 황금연휴 기간에 교보문고 강남점에 간 적이 있었는데, 아직도 책장에 꽂혀 있어서 깜짝 놀랐습니다. 출...
    Date2017.10.20 Category알려요~ By정병주 Views3019 Votes0
    Read More
  8. 국가정보자원관리원 G-클라우드

    G-클라우드 추진 배경 대한민국 전자정부의 심장 역할을 수행하는 국가정보자원관리원(구, 정부통합전산센터)는 47개 중앙행정기관의 IT 인프라를 위탁 운영하는 행정안전부 산하기관으로 약 22,000개 SW와 24,000개 HW 정보자원의 효율적 운용을 통해 24시간 365일 중단 없는 행정 서비스를 제공하고 있으며, 제1센터(대전)와 제2센터(광주)에 각 기관의 업무시스템이 입주하고 있습니다. 국가정보자원관리원에서는 새로운 IT 서비스 패러다임으로 클라우드 컴퓨팅이 부각 되면서 정보자원의 효율적 도입 및 구축을 통한 비용절감과 대국민 서비스 향상의 동시 실현이 가능한 정부 클라우드컴퓨팅 센터 구현을 추진하고 있으며, 2017년까지 1) 전자정부 업무의 클라우드 환경 60% 전환, 2) 공개 소프트웨어 50% 도입, 3) IT 운영 예산 40% 절감이라는 세부적인 목표 하에 G-클라우드 구축사업을 단계적으로 추진해 오고 있습니다. G-클라우드 추진 현황 2011년부터 대전센터를 중심으로 G-클라우드 시범 인프라를 구축하기 시작하였으며, 클라우드 풀(Pool) 구축을 위한 x86 범용 서버와 Linux/Windows 가상화 솔루션, 공개SW 기반의 OS, DBMS, WEB/WAS를 도입하였습니다. 그...
    Date2017.09.19 Category고객 적용사례 By정병주 Views8312 Votes0
    Read More
  9. 서버 시장의 변화 - x86 Up, Unix Down

    2008년 CUBRID가 오픈소스 DBMS로 전환하는 과정에서 내부적으로 중요한 의사결정이 있었습니다. 그것은 바로 Unix 계열 운영체제를 지원하지 않는 것이었습니다. 기존에 CUBRID는 Linux, Windows 운영체제 외에 Unix 계열 운영체제(HP HP-UX, IBM AIX, SUN Solaris)를 모두 지원하였으며, 오픈소스 전환 이후 Linux와 Windows 운영체제에만 집중하기로 한 것입니다. 당시 Unix 계열 고객사도 있었기 때문에 내부적으로 갑론을박이 있었지만, 제한된 개발 리소스로 다양한 운영체제를 지원하는 것보다는 선택과 집중을 통해 CUBRID 제품의 성능 향상과 기능 개선에 초점을 맞추었습니다. 사실, 다양한 운영체제를 지원하기 위해서는 개발 및 QA 인프라 구축, 운영체제 포팅, 그리고 서스테이닝 등 상당한 비용이 수반될 수 밖에 없습니다. 최근 IT 시장조사 기관인 가트너의 2017년 2분기 세계 서버 매출 결과를 보면 x86 서버는 출하량 2.5%, 매출 6.7% 증가한 반면, Unix 서버(RISC·아이테니엄 서버)는 각각 21.4%, 24.9% 하락했습니다. -> 관련 기사: HPE, 2017년 2분기 서버 매출 1위 유지(블로터닷넷, 2017.09.14) Unix 서버 출하량과 매출이 급격하게 추락하는 원인에는 ...
    Date2017.09.15 Category시장 살펴보기 By정병주 Views3042 Votes0
    Read More
  10. 클라우드와 리눅스, 그리고 마이크로소프트

    2014년 10월 미국 샌프란시스코에서 개최된 마이크로소프트 기자간담회에서 2월에 취임한 신임 CEO인 사티아 나델라(Satya Nadella)는 “Microsoft loves Linux”라는 메시지를 전달함으로써 시장에 충격을 주었습니다. 왜냐하면 전임 CEO인 스티브 발머(Steve Ballmer)는 리눅스를 “암(cancer)”적인 존재라는 표현으로 적대시 해왔고, 마이크로소프트 회사 자체가 독점(proprietary) 소프트웨어를 통해 엄청난 수익을 창출한 대표적인 기업이기 때문입니다.  마이크로소프트는 CEO가 바뀌었을 뿐인데 어떻게 리눅스를 바라보는 회사의 입장이 180도 바뀌었을까요? 사티아 나델라 CEO의 설명을 들어보면 이미 마이크로소프트 애저(Azure) 플랫폼의 VM (Virtual Machine) 중에 약 20% 정도가 오픈소스 운영체제라는 것입니다. 따라서, 마이크로소프트 애저 플랫폼을 확산시키기 위해서는 리눅스 사용자들을 수용할 수 밖에 없었던 것이며, 실질적으로 ‘마이크로 소프트의 밥줄은 윈도우가 아니다.’라는 기사를 확인해 보면, 2015년 4사분기 기준으로 매출 실적 1위는 클라우드 서버, 2위는 게임 부문, 3위 오피스, 4위 윈도우 순으로 나타납니다. (윈도우의 전체 매출 비중은 10%)...
    Date2017.09.06 Category시장 살펴보기 By정병주 Views6266 Votes0
    Read More
Board Pagination Prev 1 ... 4 5 6 7 8 9 10 11 12 13 ... 16 Next
/ 16

Contact Cubrid

영업문의 070-4077-2112 / 기술문의 070-4077-2148 / 대표전화 070-4077-2110 / Email. contact_at_cubrid.com
Contact Sales